근로장려금 자격조건 확인하시고 신청하셔야겠죠? 정부 지원금이니 꼼꼼히 챙기셔야 합니다. 올해 2024년 근로장려금 신청일을 모두 정리하였습니다. 더불어 대상자 확인, 자격 요건, 신청방법까지 모두 보실 수 있으니 끝까지 읽으셔서 혜택 놓치지 마세요.

2024년도 근로장려금 신청기간
2024년도에는 작년 2023년도 귀속 근로장려금 하반기분과 정기분, 그리고 기한 후 신청이 있으며 2024년 귀속 근로장려금 상반기분이 있습니다. 총 4회 근로장려금을 신청할 수 있습니다.
총 4회의 신청기간 모두 잘 체크하셔서 2024년 올해 근로장려금 모두 받아가시기 바랍니다.
그럼 이제 근로장려금 지원 금액은 어떻게 계산되어 지급되는지, 지급 산정표를 알려드릴게요.
근로장려금 지급 금액 산정표
조세특례제한법 시행령 개정(2023년 2월 28일)에 따른 근로장려금 산정표를 기준으로 지급 금액을 정합니다. 아래 버튼을 누르시면 한글파일로 근로장려금 산정표를 받아 보실 수 있습니다. 스크롤을 내리시면 산정표를 보실 수 있습니다.
가구의 연간 총 급여액을 기준으로 단독가구, 홑벌이 가구, 맞벌이 가구에 따른 근로장려금 금액입니다.
아래 표를 통해 근로장려금 지원 금액을 예측해 보실 수 있습니다. 정확한 반기 근로장려금 계산 방법은 표 맨 아래에 작성했으니 아래 내용까지 꼭 확인하세요.
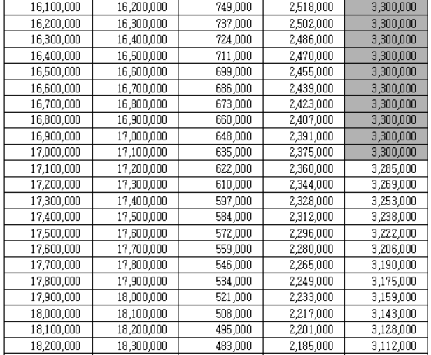
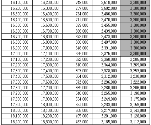
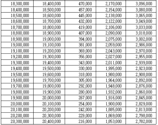
✅ 총급여액 40,000원 부터 740만 원까지 근로장려금 예상 지급액
✅ 총 급여 750만 원부터 1,600만 원까지 근로장려금 지급 예상액
✅ 총 급여 1,610만 원부터 2,440만 원까지 근로장려금 지급 예상액
✅ 총 급여 2,450만 원부터 3,280만 원까지 근로장려금 지급 예상액
✅ 총 급여 3,290만 원부터 3,790만 원까지 근로장려금 지급 예상액
✅근로장려금 산정표에서 반기 근로장려금 계산 방법
- 반기 근로장려금은 위 표에 따른 금액의 100분의 35에 해당하는 금액
- 법 제100조의3제1항제4호에 따른 재산의 총액이 1억 7천만 원 이상인 경우에는 위 표에 따른 금액의 100분의 50에 해당하는 금액으로 한다. 단, 반기 근로장려금은 위 표에 따른 금액의 100분의 50 금액에서 다시 100분의 35에 해당하는 금액입니다.

✅근로장려금 산정표 주의사항
즉, 실제 산정액이 계산식에 의해 산정한 금액과 차이가 있을 수 있습니다.
근로장려금 반기신청 지급액 산정방법 (계산식)
근로장려금 상반기, 하반기 신청에 따른 지급액 산정방법 안내해 드릴게요. 보다 정확한 계산으로 근로장려금 지원 금액을 알 수 있습니다.
![]() |
![]() |
![]() |
✅ 반기신청 지급액 계산 방법
반기 신청 근로장려금 지급액은 아래 표의 두번째 칸의 '계산금액'을 총 급여액으로 보고 예상 연간 산정액의 35%를 상반기분으로 12월에 지급하고 하반기분은 다음해 6월 정산을 통해 지급하거나 향후 장려금에서 차감하는 방식으로 지급됩니다.
근로장려금 신청자격 지급 요건 확인
근로장려금 반기신청 신청자격은 아래 버튼을 통해 확인하시고 대상자 조회하셔서 꼭 혜택 받으세요.
정기분 근로장려금 신청자격은 아래 버튼을 통해 확인하세요. 소득요건 꼼꼼히 체크하시고 신청하셔서 꼭 혜택받으시기 바랍니다.
상반기분 근로장려금 신청자격은 아래 버튼을 통해 대상자 확인하세요. 2024년 마지막 근로장려금까지 꼭 받으시길 바랍니다.
근로장려금 신청 방법
위에서 소득 요건, 재산 요건 등으로 신청 조건을 확인하였으니 이제 바로 근로장려금 신청 방법 안내해 드릴게요.
근로장려금 신청 방법은 다양합니다. 그 중에서 편하신 방법을 택하여 신청하시면 되겠습니다.
아래 버튼을 누르셔서 안전하게 근로장려금 신청 방법보시고 바로 신청하시기 바랍니다.













이상으로 근로장려금 신청기간과 근로장려금 지급 금액 산정 방법에 대해 알아보았습니다. 많은 도움이 되었길 바랍니다.























